


Volume
Avg volume
PT Bank Mandiri (Persero) Tbk. atau BMRI merupakan bank BUMN yang melakukan usaha di bidang perbankan. Entitas anak Perseroan diantaranya: PT Bank Syariah Mandiri (perbankkan syariah), Bank Mandiri (Europe) Limited (perbankan), PT Mandiri Sekuritas (Sekuritas), PT Bank Sinar Harapan Bali (perbankan), PT Mandiri Tunas Finance (pembiayaan konsumen), Mandiri Internasional Remittance Sendirian Berhad (layanan Remittance), PT Axa Mandiri Financial Service (Asuransi jiwa) dan PT Mandiri AXA General Insurance (Asuransi kerugian). Entitas asosiasi dan pengendalian bersama Perseroan: PT Kustodian Sentral Efek Indonesia (Lembaga Penyelesa... Read More
$BBTN
$BBKP
$BMRI
Kita lihatlah seperti apa SOP dari MAFIA DEPOSITO KEMENDAGRI.
https://cutt.ly/AticuPVW
-> Ada emiten ini small caps, under 230 M sektor costumer non ciclycal
-> Dividen royal yield nya 4,38%
-> berhasil ekspansi dan growth
-> berhasil ROIC dari 10% an ke 12% an Ga punya hutang berbunga. ga punya utang bunga mah ga usah ngitung WACC, bandingin aja sm obligasi pemerintah. beres.
-> harus sabar beli pelan2 biar ga di geprek MM👀😟
-> Sedang di support kuat. sempat rame pas rilis laporan keuangan dan sekarang SEPI sekali kaya kuburan🤣.
ada yang tau emiten apa?
random aja
$BBRI
$BBCA
$BMRI
$BMRI
$BBTN
$BBKP
Menangis toh... Sok2 menolak usulan presiden tuk dijadikan bencana nasional , lebih mematuhi *mafia deposito kemendagri* dibandingkan *presiden prabowo* ...
Ntar setelah tahu bahwa korban rakyat aceh *PULUHAN RIBU....* nyesal lo....
Inilah contoh *GUBERNUR SAMPAH* .
https://cutt.ly/ptiziPIF

$IHSG 40% kenaikan Karna saham gorengan. Fakta Saham Fundamental kalo nga di goreng nga akan naik & nga semua saham gorengan jelek semua tergantung sudut pandang pribadi. BEI & OJK lebih baik perketat awasi perusahan nakal yang buat laporan keuangan palsu biar investor fundamental tidak terjebak. mau harga saham naik atau turun prusahan harus jujur menyampaikan ke investor dan bagi deviden bukan cuma cari modal masuk bursa.
$BMRI $PTBA
$FPNI
Teknikal
Jika Senin merah maka secara teknikal akan membentuk 3 black crows. Artinya saham akan meluncur kebawah.
3 candle merah = rungkad.
Jika Senin ARA/hijau, ada kemungkinan untuk rebound dan naik lagi. Harus dilihat broker summary apakah ada big player yg akumulasi selain XL XC NI.
Secara Fundamental
FPNI bermain dihilir. LCI dihulu. Otomatis dalam durasi pendek 1-6 bulan belum kelihatan margin laba yg besar. Secara PER termasuk biasa, bukan wonderfull company.
FPNI belum pernah membagikan dividen. Jika 2026 bagi pun otomatis yield tidak akan lebih dari 10%. tidak worth it untuk investasi. di bursa banyak yg ngasih DividenYield lebih dri 9% dan lebih aman untuk investasi longterm ($BMRI, MPMX, $ITMG)
Secara Bandarmology.
FPNI dalam fase distribusi. selama 2 hari bursa broker MG NI CP rutin jual saham. Artinya fase bearish. Jika Senin volume turun + offer naik, otomatis harga akan merah downtrend.
NI average dibawah 1000
MG average dibawah 800.
jualan diatas 1200 mereka tetap cuan. Hati2 untuk yg akan nampung. bisa menjadi exit liquidity.
Intinya jika Senin ARA, maka ada potensi rebound. Jika Senin hijau tapi tidak ARA (lihat broksum apakah ada akumulasi dri pemain baru) jika ada hold, jika tidak ada sell. Jika Senin merah = downtrend. bandar akan iris tipis / ARB intinya bearish trend.
kembali ke hukum supply & demand. seberapa kuat FPNI digoreng pada akhirnya kembali ke harga pasar.
CIS - Cuan Inside Sharing
TENAGA KERJA ASING part.2
(cek slide)
sumber : exc. ngomongin uang
random tags$IHSG$BBNI$BMRI
tips trading utk pemula, setuju? https://stockbit.com/post/20680521
disclaimer : catatan pribadi ini hanyalah celoteh / prediksi nubitol, bukan ajakan beli atau jual.. . yuk mari kita sama2 mandiri 💞
(boleh diSHARE semoga bermanfaat)
1/10










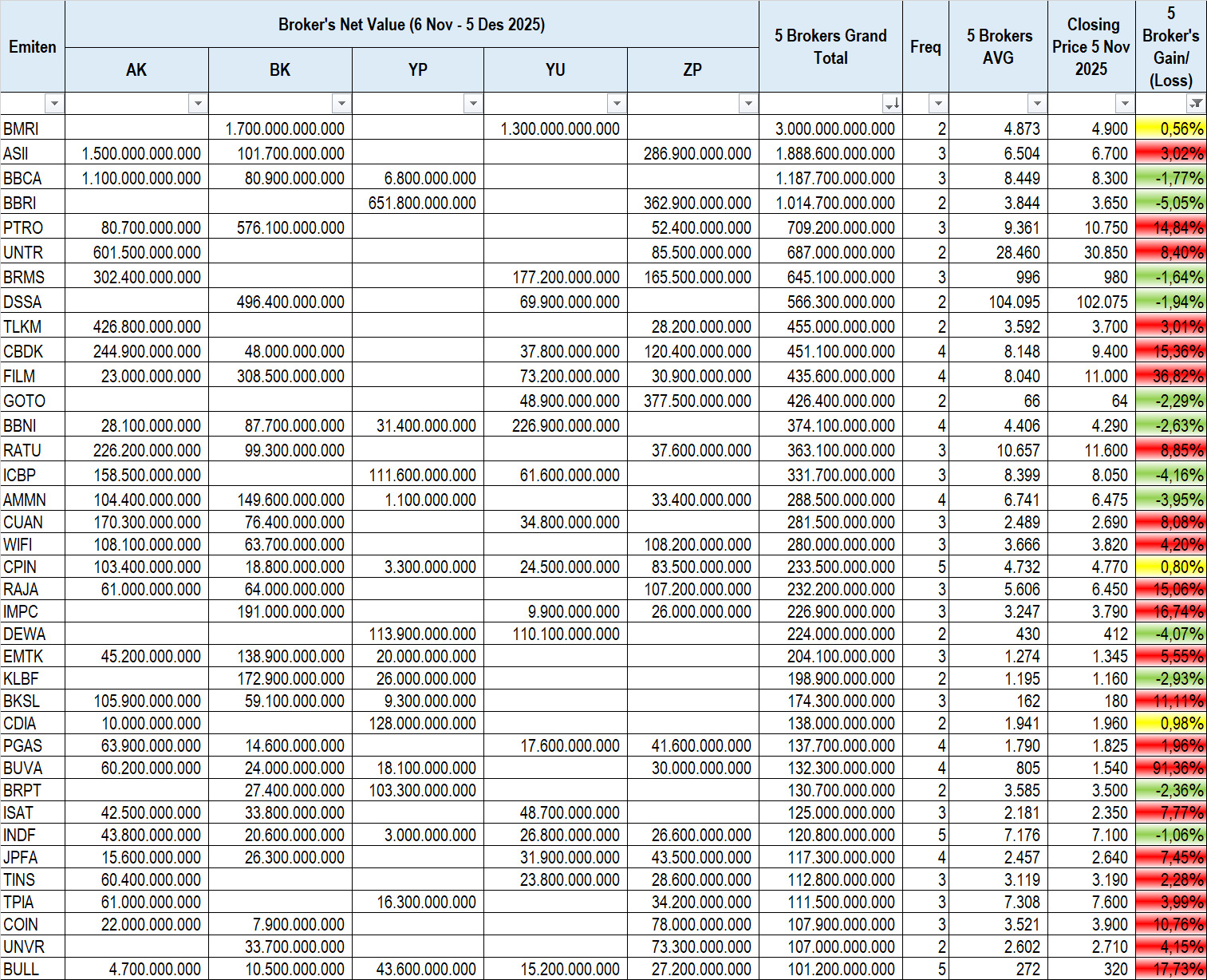
BROKER SUMMARY 1 BULAN TERAKHIR (6 NOV-5 DES 2025)
Disclaimer: Broker yang saya ambil adalah AK, BK, ZP, YP, dan YU (yang menurut saya merupakan broker institusi dan broker yang biasa menjadi market maker).
Overview:
Top Value: $BMRI diborong BK dan YU masing-masing 1,7T dan 1,3T.
Paling kompak dibeli AK, BK, ZP, YP, dan YU: $CPIN dengan Net Value Rp233,5miliar.
Kompak nyangkut: $PJHB hehe…
Pic 1 : Broksum dengan Total Net Value (5 Broker) > Rp100miliar
Pic 2: Broksum emiten yang kompak dibeli AK, BK, ZP, YP, dan YU
Notes: salah tulis, seharusnya Closing Price 5 Des, bukan 5 Nov
1/2


- $BBRI
- Resistance: 3899 (R3), 3891 (R2), 3838 (R1)
- Support: 3811 (S1), 3740 (S2), 3676 (S3)
- $AMMN
- Resistance: 7528 (R3), 7277 (R2), 7008 (R1)
- Support: 6692 (S1), 6666 (S2), 6505 (S3)
- $BMRI
- Resistance: 4925 (R3), 4882 (R2), 4861 (R1)
- Support: 4788 (S1), 4622 (S2), 4598 (S3)
$BMRI It looks like the Monthly support is able to hold price from pushing lower. Low hanging fruit objective is 5700.

Laporan Keuangan $BNGA Oktober 2025, Apakah Lebih Baik dari Laporan Keuangan $BMRI Oktober 2025?
Request member External Comunity Pintar Nyangkut di Telegram dengan Kode External Community menggunakan kode: A38138 https://stockbit.com/post/13223345
BNGA juga sudah rilis Laporan Keuangan Bulan Oktober 2025. Kalau dibandingkan dengan Laporan Keuangan BMRI Oktober 2025, bisa dikatakan BNGA punya beberapa keunggulan jika dibandingkan dengan BMRI. Secara ukuran, BMRI jelas masih monster, pendapatan bunga sepuluh bulan sudah tembus sekitar 101 triliun, sementara pendapatan BNGA baru di kisaran 19 triliun, tapi angka besar tidak otomatis berarti kualitas pertumbuhan yang lebih sehat. Justru yang menarik, bank yang lebih kecil ini berhasil menaikkan laba bersih sekitar 6,45% secara year on year menjadi kurang lebih 5,77 triliun, ketika BMRI di periode yang sama harus menerima laba entitas induk turun hampir 9,70%. Di BMRI, mesin bisnis lari kencang, tapi kebocoran di sisi biaya dan beban bunga makin besar, sedangkan di BNGA laju pendapatan lebih kalem namun setiap rupiah dijaga ketat supaya tidak bocor lewat beban operasional dan impairment. Buat investor yang mau baca angka sampai tuntas, pertanyaannya bergeser dari siapa yang laba absolutnya paling jumbo, menjadi siapa yang paling efisien mengubah pendapatan bunga jadi laba bersih yang konsisten. Khusus Oktober 2025, BNGA juga kirim sinyal menarik, laba bulanan memang turun cukup dalam dibanding September, tetapi dibanding Oktober tahun lalu justru lompat hampir setengah kali lipat. Di sisi lain, laporan BMRI memperlihatkan pola kebalik, pendapatan bunga dan fee tumbuh kuat, risiko kredit malah membaik, tapi lonjakan beban bunga, promosi, dan beban lainnya menekan marjin sampai laba year to date mundur. Kombinasi ini membuat BNGA terlihat seperti bank yang sedang main dengan kartu efisiensi dan kualitas laba, sementara BMRI sedang berada di fase harus membayar mahal ekspansi dan persaingan dana, sehingga kinerja laba tidak seindah headline pertumbuhan pendapatannya. Upgrade Skill https://cutt.ly/Ve3nZHZf
Sampai akhir Oktober 2025, BNGA mencetak laba kumulatif sekitar 5,77 triliun, naik dari kurang lebih 5,42 triliun di Oktober 2024, tumbuh 6,45%. Ini bukan pertumbuhan luar biasa secara nominal, tapi konteksnya penting. Di saat yang sama, laba kumulatif BMRI justru turun sekitar 9,70% dibanding tahun lalu, padahal pendapatan bunga BMRI naik hampir 9,85% dan fee komisi naik sekitar 12,85%. Artinya, BNGA berhasil mengonversi pertumbuhan pendapatan yang tipis menjadi kenaikan laba bersih yang nyata, sedangkan BMRI menghasilkan pertumbuhan top line yang jauh lebih tinggi tetapi kualitas bottom line melemah. Dari kacamata marjin, BNGA membuat cerita yang lebih rapi, NPM kumulatif naik dari kisaran 53% ke sekitar 57% di 2025, sementara BMRI justru mengalami kompresi marjin meskipun revenue masih tumbuh dua digit di beberapa pos.
Dari sisi laba bulanan, profil BNGA terlihat dinamis tapi sehat. Laba diskret Oktober 2025 sekitar 0,63 triliun, turun cukup tajam dari rekor September sekitar 0,90 triliun, penurunan sekitar 30%. Kalau investor hanya bandingkan bulan ke bulan, ini kelihatan seperti koreksi tajam, tetapi begitu dibandingkan dengan Oktober 2024 yang hanya sekitar 0,43 triliun, kenaikannya mencapai 46,79%. Artinya, Oktober itu lebih tepat dibaca sebagai normalisasi setelah bulan super kuat di September, bukan sebagai sinyal kerusakan fundamental. Rata-rata laba bulanan BNGA di 2025 berada di kisaran 0,58 triliun, sehingga Oktober masih di atas rata-rata. Di BMRI, kita tidak punya angka laba bulanan sedetil BNGA, tetapi dari struktur pendapatannya terlihat bahwa tekanan justru datang dari biaya, bukan dari pendapatan. Jadi secara momentum laba, BNGA menampilkan pola naik-turun yang wajar tapi tren dasarnya naik, sedangkan BMRI berada di tren laba turun walaupun pendapatan inti naik.
Sekarang masuk ke mesin pendapatan inti. BMRI jelas menang di skala dan pertumbuhan. Pendapatan bunga kumulatif sampai Oktober 2025 sekitar 101,16 triliun, naik hampir 9,85% year on year. Fee dan komisi juga tumbuh sekitar 12,85%, keuntungan penjualan aset hampir dua kali lipat naik sekitar 96,16%, dan keuntungan nilai wajar instrumen keuangan juga naik. Di atas kertas, ini bank dengan mesin pendapatan yang sangat sehat. BNGA jauh lebih kecil, pendapatan kumulatif hanya sekitar 19,05 triliun, naik tipis sekitar 1,10% dari sekitar 18,85 triliun tahun lalu. Kalau hanya lihat sisi revenue, investor akan gampang menyimpulkan BMRI lebih menarik. Namun begitu kita lihat apa yang terjadi di bawah gross income, ceritanya berubah. BNGA membuktikan bahwa pertumbuhan top line yang tipis bisa tetap menghasilkan pertumbuhan laba yang lumayan, selama disiplin biaya dan kualitas aset dijaga. BMRI sebaliknya, pertumbuhan pendapatan yang cantik malah terkubur oleh biaya dana dan beban operasional yang melonjak. Upgrade Skill https://cutt.ly/Ve3nZHZf
Komponen biaya di BMRI memang jauh lebih agresif. Beban bunga BMRI naik sekitar 22,97% year on year menjadi sekitar 36,73 triliun, jauh di atas pertumbuhan pendapatan bunga. Dalam bahasa sederhana, BMRI harus membayar bunga jauh lebih mahal untuk mempertahankan pertumbuhan pendapatan dan kredit. Di saat yang sama, beban tenaga kerja naik sekitar 15,53% ke kisaran 15,29 triliun, wajar untuk bank besar yang terus investasi di SDM, tapi tetap menekan marjin. Yang paling ekstrem, beban promosi melonjak sekitar 148,76% dan beban lainnya naik sekitar 55,82% menjadi kurang lebih 22,66 triliun. Jadi walaupun CKPN turun sekitar 25,08% dan membantu, kombinasi beban bunga dan biaya operasional ini cukup untuk membalikkan semua keuntungan di sisi pendapatan, sehingga laba kumulatif justru turun. BNGA di sisi lain mencatat cerita yang jauh lebih jinak. Pendapatan kumulatif naik sekitar 1,10%, sementara beban operasional lainnya hanya naik sekitar 0,44% menjadi sekitar 17,05 triliun. Secara praktis, BNGA hampir menahan beban operasional tetap datar, sehingga setiap kenaikan pendapatan, meskipun tipis, bisa langsung mengalir ke laba.
Kualitas biaya kredit juga lebih bersahabat di BNGA. Total beban impairment kumulatif sampai Oktober 2025 sekitar 0,92 triliun, turun dari sekitar 1,12 triliun di 2024, penurunan sekitar 17,41%. Rata-rata beban impairment bulanan juga turun, dari sekitar 0,11 triliun menjadi sekitar 0,09 triliun. Bahkan di Oktober 2025, beban impairment diskret hanya sekitar 30,8 miliar, angka terendah sepanjang sepuluh bulan pertama 2025. Itu artinya BNGA tidak hanya menikmati pendapatan yang stabil, tetapi juga profil risiko kredit yang makin terkendali. BMRI juga merasakan penurunan CKPN sekitar 25,08%, jadi di sisi risiko kredit sebenarnya keduanya sedang di jalur yang sehat. Bedanya, di BMRI penurunan CKPN ini hanya menjadi penyangga terhadap ledakan beban bunga, promosi, dan beban lainnya, sehingga laba tetap tertekan. Di BNGA, penurunan impairment menjadi bonus tambahan yang memperkuat tren kenaikan laba bersih. Upgrade Skill https://cutt.ly/Ve3nZHZf
Kalau masuk ke sisi pendanaan dan struktur neraca, di sini BNGA terlihat sangat agresif membangun pondasi dana murah. Saldo CASA (gabungan giro dan tabungan) di akhir Oktober 2025 sekitar 194,96 triliun, naik dari sekitar 166,79 triliun di Oktober 2024, pertumbuhan sekitar 16,89%. Giro sendiri naik lebih dari seperempat, dari sekitar 85,11 triliun ke sekitar 107,15 triliun, sementara tabungan naik sekitar 7,51% ke kisaran 87,81 triliun. Rasio CASA di entitas induk naik ke sekitar 68,39% dari sebelumnya sekitar 66,23%. Di saat persaingan dana sedang panas, BNGA berhasil mendorong porsi dana murah naik cukup signifikan. Di neraca kredit, saldo kredit yang diberikan naik dari sekitar 147,25 triliun ke sekitar 159 triliun, pertumbuhan sekitar 7,98%, jadi masih ada ekspansi kredit, meskipun tidak seagresif lompatan CASA. Dampaknya ke rasio LDR entitas induk terlihat jelas, turun dari sekitar 83,45% ke sekitar 76,31%. Secara teori, LDR yang turun berarti likuiditas longgar dan intermediasi sedikit kurang agresif, tetapi dari kacamata biaya dana, konfigurasi ini membuat BNGA punya posisi tawar kuat dalam menjaga cost of fund. Di BMRI, kita tidak punya data CASA sedetil BNGA dalam paket ini, tetapi lonjakan beban bunga 22,97% memberi sinyal kuat bahwa biaya dana BMRI jauh lebih berat. Entah karena komposisi deposito berjangka masih besar, karena tekanan pricing di pasar dana, atau kombinasi keduanya, yang jelas BMRI harus membayar mahal untuk mempertahankan pertumbuhan.
Dari perspektif bulan Oktober itu sendiri, BNGA juga terlihat lebih bersih ketika dibandingkan dengan behavior BMRI di periode yang sama. Pendapatan diskret BNGA di Oktober sekitar 1,90 triliun, sedikit di bawah Oktober 2024, tapi tidak jauh beda dengan pola paruh kedua tahun yang memang stabil di kisaran 1,9 triliun per bulan. Beban operasional lainnya diskret sekitar 2,77 triliun, sedikit lebih tinggi dari September, tetapi sekitar 17,51% lebih rendah dibanding Oktober 2024. Laba bersih diskret tadi sekitar 0,63 triliun, di atas rata-rata bulanan 2025 dan jauh di atas Oktober tahun lalu. Yang menekan laba dari puncak September bukan kerusakan bisnis inti, tetapi pembalikan di pendapatan non operasional yang di September sangat besar lalu kembali ke level bahkan negatif di Oktober. Jadi, investor bisa membaca Oktober sebagai bulan di mana laba kembali ke level normal, sementara kualitas aset dan efisiensi biaya justru di salah satu titik terbaik sepanjang tahun, dengan impairment yang sangat rendah dan beban operasional non bunga yang lebih hemat dibanding tahun lalu. Upgrade Skill https://cutt.ly/Ve3nZHZf
Kontrasnya, data BMRI untuk Oktober datang setelah satu tahun penuh di mana bank sangat agresif di sisi pemasaran dan penguatan franchise. Beban promosi yang melonjak hampir dua setengah kali lipat dan beban lainnya yang naik lebih dari setengah mencerminkan strategi untuk mengamankan posisi market share dan mendorong fee non bunga, tetapi harga yang dibayar terhadap bottom line cukup mahal. Investor harus bertanya, seberapa besar dari kenaikan pendapatan fee, keuntungan nilai wajar, dan keuntungan penjualan aset itu yang sifatnya berulang, dan seberapa besar yang hanya efek siklus pasar atau aksi portofolio. BNGA, dengan pertumbuhan pendapatan yang jauh lebih rendah, memang tidak seagresif BMRI dalam mengejar skala, tetapi hasil akhirnya berupa kenaikan laba dan perbaikan NPM memberikan kesan manajemen lebih fokus pada disiplin profit, bukan sekadar headline omzet.
Buat investor yang suka bank besar dengan volume kredit dan fee yang masif, BMRI tetap sulit disaingi. Pendapatan bunga di atas 100 triliun, fee double digit growth, dan posisi sebagai salah satu bank utama di hampir semua segmen ekonomi tetap merupakan moat yang tidak bisa diabaikan. Tetapi data Oktober 2025 menunjukkan bahwa kekuatan itu datang dengan tagihan biaya yang berat, terutama di beban bunga dan beban operasional. BNGA, di sisi lain, tampil sebagai bank yang sedang mengerjakan pekerjaan rumah klasik bank sehat, yaitu mempertebal CASA, menurunkan LDR ke level yang nyaman, menekan impairment, dan menjaga beban operasional supaya tidak tumbuh lebih cepat dari pendapatan. Laba kumulatif naik, NPM membaik, dan laba bulanan Oktober meskipun lebih rendah dari September tetap jauh lebih tinggi dari tahun lalu. Jadi kalau dibandingkan BMRI, BNGA memang tidak menang di skala, tetapi untuk saat ini BNGA terlihat lebih unggul di efisiensi, kualitas laba, dan keseimbangan antara pertumbuhan dan risiko. Pertanyaannya untuk investor, lebih nyaman menaruh uang di mesin besar yang masih harus mengendalikan ledakan biaya, atau di mesin yang lebih kecil tetapi sedang menunjukkan disiplin dan kualitas pertumbuhan yang lebih rapi. Upgrade Skill https://cutt.ly/Ve3nZHZf
Ini bukan rekomendasi jual dan beli saham. Keputusan ada di tangan masing-masing investor.
Untuk diskusi lebih lanjut bisa lewat External Community Pintar Nyangkut di Telegram dengan mendaftarkan diri ke External Community menggunakan kode: A38138
Link Panduan https://stockbit.com/post/13223345
Kunjungi Insight Pintar Nyangkut di sini https://cutt.ly/ne0pqmLm
Sedangkan untuk rekomendasi belajar saham bisa cek di sini https://cutt.ly/Ve3nZHZf
https://cutt.ly/ge3LaGFx
Toko Kaos Pintar Nyangkut https://cutt.ly/XruoaWRW
Disclaimer: http://bit.ly/3RznNpU

$BMRI Oktober 2025: Apakah On The Way Recovery?
Lanjutan dari diskusi di External Comunity Pintar Nyangkut di Telegram dengan Kode External Community menggunakan kode: A38138 https://stockbit.com/post/13223345
Laporan keuangan BMRI di Oktober 2025 ini sebenarnya lumayan bagus meskipun ada beberapa kekurangan. Dari sisi pendapatan, angka top line masih tumbuh dua digit dengan pendapatan bunga dan fee yang kompak naik, memberi kesan mesin utama bank ini masih bertenaga. Di saat yang sama, beban kerugian kredit justru turun cukup dalam, artinya kualitas aset secara agregat membaik dan tidak ada ledakan NPL yang tiba-tiba. Namun di balik itu, laba bersih kumulatif sampai Oktober justru turun sekitar 9,70% secara tahunan karena beban bunga dan beban operasional lari lebih kencang dibanding pendapatan. Total pendapatan yang tercermin di laporan sudah menembus kisaran 130 triliun Rupiah, tetapi total beban juga ikut naik ke kisaran 82 triliun Rupiah sehingga ruang laba tidak mengembang secepat yang diharapkan. Secara rata-rata bulanan, pendapatan bunga stabil di kisaran 10 triliun Rupiah per bulan sementara beban bunga bergerak di kisaran 3,7 triliun Rupiah, jadi marjin bunga masih sehat tetapi tekanan biaya dana jelas terasa. Di bawahnya, fee based income sudah rutin menyumbang sekitar 1,6 triliun Rupiah per bulan dan menjadi penopang penting diversifikasi pendapatan. Investor yang hanya melihat grafik pendapatan mungkin merasa semua baik-baik saja, tetapi begitu mata diturunkan ke barisan beban, kelihatan jelas bahwa Mandiri sedang memasuki fase di mana mempertahankan profit itu lebih susah daripada menumbuhkan revenue. Narasi besarnya bukan bank yang sedang sakit, melainkan bank yang sehat tetapi dipaksa bekerja jauh lebih keras hanya untuk menjaga laba tidak menyusut terlalu dalam. Upgrade Skill https://cutt.ly/Ve3nZHZf
Kalau diringkas dulu gambaran besar setahun berjalan, sampai Oktober 2025 pendapatan bunga kumulatif Entitas Induk sudah tembus sekitar 101 triliun Rupiah, naik hampir 10% secara tahunan. Pendapatan komisi dan administrasi menambah sekitar 16,5 triliun Rupiah kumulatif dan justru tumbuh lebih kencang, sekitar 12,85% YoY, menandakan aktivitas transaksi dan jasa perbankan non kredit makin ramai. Di luar itu masih ada keuntungan nilai wajar aset, keuntungan penjualan aset keuangan, pendapatan dividen, dan pendapatan lainnya yang kalau dijumlahkan membuat total pendapatan operasional Mandiri mendekati 130 triliun Rupiah untuk sepuluh bulan pertama tahun ini. Di sisi beban, beban bunga sudah mencapai sekitar 36,7 triliun Rupiah, beban tenaga kerja sekitar 15,3 triliun Rupiah, beban lainnya sekitar 22,7 triliun Rupiah, ditambah CKPN sekitar 5,1 triliun Rupiah, beban promosi sekitar 2,6 triliun Rupiah, dan kerugian risiko operasional yang relatif kecil. Secara kasar, gap antara total pendapatan dan total beban di data ini masih meninggalkan ruang laba operasional puluhan triliun, jadi tidak ada cerita krisis laba. Kekurangannya, pertumbuhan beban bunga dan beban operasional non bunga melaju lebih cepat daripada pendapatan sehingga laba bersih kumulatif justru menyusut sekitar 9,70% YoY, ini yang membuat laporan Oktober terasa manis di atas tetapi agak pahit di bawah.
Dari sisi pendapatan inti, pendapatan bunga masih menjadi tulang punggung utama dan tampil cukup meyakinkan. Secara diskret, setiap bulan Mandiri mencetak pendapatan bunga sekitar 9,3 sampai 10,5 triliun Rupiah, dengan rata-rata sekitar 10,1 triliun Rupiah per bulan. Titik terendah muncul di Februari di kisaran 9,3 triliun Rupiah dan titik tertinggi di Juni di kisaran 10,5 triliun Rupiah, fluktuasi yang masih normal untuk bank jumbo dengan portofolio kredit dan surat berharga yang besar. Pola ini menunjukkan bahwa basis pendapatan bunga Mandiri sudah cukup matang dan tersebar, tidak tergantung satu dua kejadian musiman. Secara tahunan, pendapatan bunga tumbuh sekitar 9,85%, artinya growth masih sehat tetapi tidak lagi meledak-ledak. Bagi investor, ini sinyal bahwa dari sisi top line bunga, BMRI bermain di zona nyaman bank besar yang sudah matang, bukan lagi fase ekspansi agresif yang bisa tumbuh dua puluh tiga puluh persen setahun.
Di samping bunga, fee based income juga berperan penting dan di sini Mandiri terlihat lebih agresif. Pendapatan komisi dan administrasi per bulan bermain di rentang sekitar 1,4 sampai 2 triliun Rupiah, dengan rata-rata sekitar 1,65 triliun Rupiah per bulan. Bulan paling rendah terjadi di Februari sekitar 1,42 triliun Rupiah dan puncaknya di September mendekati 1,95 triliun Rupiah sebelum sedikit moderat di Oktober. Secara tahunan, fee ini naik sekitar 12,85% yang berarti lebih kencang daripada bunga. Ini biasanya mencerminkan pertumbuhan transaksi kartu, layanan cash management, trade finance, dan berbagai jasa lain yang menjadi indikator bahwa nasabah korporasi dan ritel tetap aktif menggunakan layanan bank. Kombinasi bunga dan fee yang sama-sama tumbuh dua digit adalah satu alasan kenapa laporan BMRI Oktober 2025 layak disebut lumayan bagus dari sisi mesin pendapatan. Upgrade Skill https://cutt.ly/Ve3nZHZf
Yang perlu diwaspadai adalah komponen pendapatan yang lebih volatil dan berpotensi satu kali seperti keuntungan penjualan aset dan keuntungan nilai wajar. Keuntungan penjualan aset keuangan melonjak hampir dua kali lipat secara tahunan, sekitar 96,16%, sehingga menyumbang sekitar 2,6 triliun Rupiah sampai Oktober. Kenaikan seperti ini enak untuk menambah laba tahun berjalan, tetapi investor tidak boleh menganggapnya pendapatan berulang karena sifatnya sangat tergantung pada timing realisasi keuntungan portofolio. Keuntungan nilai wajar aset juga bertambah ke kisaran 1,6 triliun Rupiah, tetapi angka bulanan sempat negatif di beberapa bulan sehingga menggambarkan volatilitas pasar keuangan yang langsung memantul ke P&L. Pendapatan dividen sekitar 1,5 triliun Rupiah dan pendapatan lainnya sekitar 6,5 triliun Rupiah memberi bantal tambahan, namun lagi-lagi sebagian bisa saja dipengaruhi item yang tidak selalu terulang dengan pola yang sama tiap tahun. Jadi secara kualitas pendapatan, BMRI masih kuat di core income, tetapi kontribusi dari pos-pos non bunga yang volatil juga ikut mempercantik angka.
Sekarang berpindah ke sisi risiko kredit yang biasa menjadi sumber masalah bank. Di sini justru ada kabar baik. Beban penurunan nilai atau CKPN secara kumulatif turun sekitar 25,08% YoY menjadi sekitar 5,1 triliun Rupiah. Secara bulanan, CKPN ini sangat dinamis, dengan puncak beban tambahan di Februari sekitar 0,9 triliun Rupiah dan titik terendah bahkan negatif di Juni sekitar minus 0,54 triliun Rupiah yang berarti ada pelepasan cadangan. Rata-rata bulanan CKPN di kisaran setengah triliun Rupiah menunjukkan bahwa secara agregat kualitas portofolio kredit cukup terjaga, tidak ada lonjakan kerugian kredit baru yang besar. Penurunan CKPN yang cukup tajam ini menjadi salah satu faktor utama yang menahan penurunan laba bersih lebih jauh. Walaupun demikian, investor tetap perlu bertanya apakah penurunan CKPN ini murni karena kualitas kredit benar-benar membaik atau karena manajemen merasa cukup nyaman menurunkan tingkat pencadangan. Selama NPL dan NPL coverage tidak jebol, penurunan CKPN boleh dibaca positif, tetapi kalau di kemudian hari muncul lonjakan NPL baru, investor akan melihat mundurnya CKPN di 2025 sebagai langkah yang terlalu percaya diri. Upgrade Skill https://cutt.ly/Ve3nZHZf
Sayangnya, kabar baik di pendapatan dan CKPN itu dikompensasi oleh kenaikan beban bunga yang cukup tajam. Beban bunga kumulatif sampai Oktober naik sekitar 22,97% YoY menjadi sekitar 36,7 triliun Rupiah, jauh lebih kencang daripada pertumbuhan pendapatan bunga yang hanya sekitar 9,85%. Secara diskret, beban bunga per bulan ada di kisaran 3,3 sampai 4,3 triliun Rupiah dengan rata-rata sekitar 3,67 triliun Rupiah. Titik terendah ada di Februari sekitar 3,32 triliun Rupiah dan puncak beban muncul di Juli dengan sekitar 4,32 triliun Rupiah. Pola seperti ini biasanya mencerminkan dua hal sekaligus, biaya dana yang naik karena kompetisi simpanan dan re pricing liabilitas yang lebih cepat daripada re pricing aset. Artinya, Mandiri memang mampu mendorong pendapatan bunga ke atas, tetapi untuk menjaga dana pihak ketiga dan struktur pendanaannya, bank harus rela membayar suku bunga yang lebih tinggi. Implikasi ke marjin jelas, net interest margin tertekan, dan bagian inilah yang membuat laba bersih secara keseluruhan ikut tergerus walaupun pendapatan inti tumbuh.
Di luar bunga dan CKPN, beban operasional non bunga juga menjadi sumber tekanan yang nyata. Beban tenaga kerja kumulatif naik sekitar 15,53%, dari sisi angka sudah tembus sekitar 15,3 triliun Rupiah sampai Oktober dengan rata-rata sekitar 1,53 triliun Rupiah per bulan. Secara bulanan, puncak beban tenaga kerja justru terjadi di Januari di atas 1,8 triliun Rupiah, kemudian turun cukup rendah di Juni sekitar 0,77 triliun Rupiah sebelum kembali stabil di kisaran 1,6 sampai 1,7 triliun Rupiah di bulan bulan berikutnya. Kenaikan dua digit di beban tenaga kerja bisa dibaca sebagai kombinasi penyesuaian gaji, bonus, dan investasi di SDM maupun teknologi yang memerlukan dukungan tenaga. Ini bukan beban yang jelek pada dirinya sendiri, tetapi investor perlu menilai apakah kenaikan laba jangka panjang yang dihasilkan sepadan dengan lonjakan biaya ini.
Beban promosi bahkan lebih ekstrem. Secara kumulatif, beban ini melonjak hampir 149% YoY dan mencapai sekitar 2,6 triliun Rupiah sampai Oktober. Rata-rata bulanan memang hanya sekitar 0,26 triliun Rupiah, tetapi distribusinya sangat tidak merata. Bulan Juni mencatat beban promosi diskret sekitar 1,57 triliun Rupiah, jauh di atas bulan-bulan lain yang puluhan sampai seratusan miliar Rupiah saja. Artinya, di tengah tahun Mandiri menggelontorkan biaya promosi dan pemasaran dalam skala besar, mungkin untuk kampanye produk tertentu, akuisisi nasabah, atau program relasi. Untuk jangka panjang, belanja promosi yang agresif bisa memperkuat franchise dan dana murah, tetapi dalam jangka pendek langsung memotong marjin dan menekan laba bersih tahun berjalan. Investor harus menimbang apakah lonjakan ini bersifat sekali lewat atau akan menjadi baseline baru untuk beban pemasaran di tahun depan.
Beban lainnya tidak kalah berat. Pos ini kumulatif naik sekitar 55,82%, menjadi sekitar 22,7 triliun Rupiah sampai Oktober dan merupakan kenaikan absolut terbesar di antara beban operasional non bunga. Secara bulanan, beban lainnya rata-rata sekitar 2,27 triliun Rupiah, dengan titik terendah di Februari sekitar 1,52 triliun Rupiah dan puncak yang kembali muncul di Juni sekitar 4,49 triliun Rupiah. Pos beban lainnya biasanya berisi campuran biaya operasional yang sangat luas mulai dari TI, sewa, pemeliharaan, administrasi, sampai biaya proyek strategis dan berbagai item lain. Lonjakan tajam di bulan tertentu memberi sinyal bahwa di tahun 2025 Mandiri sedang menjalankan beberapa agenda besar yang memakan biaya, misalnya pembaruan sistem atau proyek transformasi. Dari sudut pandang laba jangka pendek, ini menyakitkan, karena beban ini ikut menjadi penyebab utama penurunan laba bersih 9,70% YoY. Dari sudut pandang jangka panjang, efeknya baru bisa dinilai beberapa tahun lagi apakah biaya yang besar ini berbuah peningkatan efisiensi dan pendapatan. Upgrade Skill https://cutt.ly/Ve3nZHZf
Kalau seluruh dinamika bulanan ini digabungkan jadi satu maka kita bisa lihat kalau revenue total BMRI per bulan berada di kisaran 12 sampai 14 triliun Rupiah, sementara total beban per bulan berada di kisaran 7 sampai 10 triliun Rupiah. Selisih keduanya menghasilkan laba operasional bulanan yang umumnya bermain di kisaran 4 sampai 5,5 triliun Rupiah. Bulan dengan profit operasional relatif kuat antara lain Mei dan Oktober, sedangkan Juni terlihat sebagai bulan yang laba operasionalnya tertekan karena kombinasi beban promosi dan beban lainnya yang sangat tinggi meskipun pendapatan masih kuat. Jadi, bukan berarti BMRI merugi di bulan tertentu, tetapi margin laba per bulan mengecil ketika bank jor-joran belanja promosi dan proyek operasional.
Kalau semua fakta ini dibaca bersama, cerita laba rugi BMRI sampai Oktober 2025 memang campur aduk antara kabar baik dan catatan kritis. Di sisi positif, pendapatan bunga dan fee tumbuh dua digit, risiko kredit membaik dan tercermin dari penurunan CKPN lebih dari 25%, serta profil pendapatan masih sangat didominasi core income yang berulang. Di sisi negatif, beban bunga melonjak hampir 23%, beban tenaga kerja naik 15% lebih, dan beban lainnya naik lebih dari 55% sehingga laba bersih kumulatif justru turun sekitar 9,70% dibanding tahun lalu. Bagi investor yang suka bank defensif, situasi BMRI di Oktober 2025 ini bisa dibaca sebagai bank besar yang tetap kuat tetapi sedang mengorbankan sebagian laba jangka pendek demi menjaga pertumbuhan, daya saing dana, dan transformasi operasional. Bagi investor yang sangat sensitif pada kualitas laba, angka-angka ini adalah sinyal untuk menanyakan tiga hal penting, apakah lonjakan beban operasional ini akan melandai di 2026, apakah pertumbuhan fee dan bunga bisa terus dipertahankan, dan apakah penurunan CKPN benar-benar didukung kualitas kredit yang kokoh. Jawaban atas tiga pertanyaan itu yang akan menentukan apakah laporan Oktober 2025 ini hanya sekadar lumayan bagus atau sebenarnya adalah fondasi bagi lonjakan laba yang lebih sehat beberapa tahun ke depan. Upgrade Skill https://cutt.ly/Ve3nZHZf
LK Oktober 2025 BMRI
📈 Laba Kumulatif YTD
• Q1 2025 naik +4,57% YoY dari 11,63 T
• H1 2025 turun -7,49% YoY ke 22,80 T
• 9M 2025 turun -10,79% YoY ke 34,80 T
• 10M 2025 turun -9,70% YoY ke 38,89 T
📉 Laba Diskret QoQ 2025
• Q1 2025 sebesar 11,63 T
• Q2 diskret turun -4,02% ke 11,17 T
• Q3 diskret naik +7,42% ke 11,99 T
🏅 Kuartal Terbaik dan Terburuk (Diskret)
• Terbaik: Q3 2025 (11,99 T)
• Terburuk: Q2 2025 (11,17 T)
📊 Laba Diskret YoY per Kuartal
• Q1 2025 lebih baik +4,57% YoY
• Q2 2025 lebih buruk -17,43%
• Q3 2025 lebih buruk -16,45%
🏦 Laba Entitas Induk vs Konsolidasi
• Konsolidasi selalu lebih tinggi
• Q1 selisih +2,90 T
• H1 selisih +4,05 T
• 9M selisih +6,58 T
🔻 Trend YoY Konsolidasi 9M
• Laba turun -10,22% dari 46,08 T ke 41,37 T
📅 Laba Kumulatif Oktober
• 10M 2025 = 38,89 T
• 10M 2024 = 43,06 T
• Turun -9,70%
📆 Laba Diskret Oktober
• Okt 2025 = 4,09 T
• Okt 2024 = 4,06 T
• Naik tipis +0,83%
🎯 Kesimpulan Utama
• Sepanjang 2025 masih tertinggal dari 2024
• Q3 2025 jadi titik pemulihan
• Oktober diskret lebih baik YoY
• Kontribusi anak usaha besar
• Penurunan paling tajam terjadi di Q2 dan Q3 YoY
Ini bukan rekomendasi jual dan beli saham. Keputusan ada di tangan masing-masing investor.
Untuk diskusi lebih lanjut bisa lewat External Community Pintar Nyangkut di Telegram dengan mendaftarkan diri ke External Community menggunakan kode: A38138
Link Panduan https://stockbit.com/post/13223345
Kunjungi Insight Pintar Nyangkut di sini https://cutt.ly/ne0pqmLm
Sedangkan untuk rekomendasi belajar saham bisa cek di sini https://cutt.ly/Ve3nZHZf
https://cutt.ly/ge3LaGFx
Toko Kaos Pintar Nyangkut https://cutt.ly/XruoaWRW
Disclaimer: http://bit.ly/3RznNpU
$BBCA $BBNI
1/4




Sabtu. Fam time.
Dan mungkin beberapa dari kalian juga melakukan hal yang sama seperti saya…
Sambil menemani keluarga ke mall,
saya biasanya mlipir sebentar ke coffee shop.
Buka laptop.
Buka @Stockbit
Dan mulai lihat chart.
Analisa dan evaluasi. Hehehe.
Bukan karena ketagihan,
tapi karena saya masih ada rasa lapar untuk belajar.
Saya anggap ini bagian dari learning phase.
Selama rasanya masih menyenangkan, ya saya ikuti saja prosesnya.
⸻
**Metode yang lagi saya dalami:
Fundamental + Bandarmologi + TA**
Saya cari saham fundamental yang wajar,
itung harga wajarnya,
lalu lihat siapa market maker yang terus akumulasi.
Dalam fase akumulasi, kekurangannya jelas:
kita nggak tahu kapan harga mulai markup (breakout naik).
Market maker bisa sangat sabar —
mereka tahu sesuatu yang belum tampak hari ini:
laporan keuangan, aksi korporasi, atau sentimen tertentu.
Kadang mereka bisa “tidur panjang” berbulan-bulan.
⸻
Contoh kecil yang saya lakukan kemarin
Value transaksi harian masih 300–500 juta.
Untuk memastikan apakah harga sedang dijaga,
saya sengaja masuk mencolok dg antrian di 3 tik berbeda
dengan nilai total 3 digit (ratusan juta).
Ketika antrian yang awalnya puluhan–ratusan lot jadi ribuan lot karena saya masuk…
Eh harga malah dinaikkan pelan-pelan.
Akhirnya saya cuma dikasih jatah masuk belasan juta rupiah di harga yang saya incar.
Di broksum sore saya liat dan mengambil kesimpulan,
harga memang sedang dijaga di fase akumulasi,
dan saya sudah masuk dekat dengan harga akumulasi mereka.
⸻
Kelebihan metode ini
Kita bisa masuk di bawah atau mendekati harga belinya market maker.
Ini powerful untuk strategi menengah–panjang.
Kekurangannya,
Kita harus ekstra sabar.
Kita tidak tahu kapan fase markup terjadi.
Butuh trigger: sentimen, news, atau LK.
⸻
Rencana saya untuk saham ini: Q1 2026
Ada probabilitas kenaikan 25–40% di kuartal awal 2026.
Saya siap dengan timeline tersebut.
Keywordnya:
1. Sabar — karena ini bukan trading harian.
2. Money management ketat — karena duit harus sanggup tidur lama.
3. Tidak pakai SL — karena tujuan saya memang 2026.
4. Pasang alert harga — supaya siap saat markup mulai.
5. Hitung range akumulasi — tahu batas aman akumulasi besar.
6. Masuk pelan-pelan — agar tidak mencolok di radar market maker.
….. ….. ….. ….. ….. ….. ….. ….. …..
Semoga wikend ini menjadi cerita indah utk para pembaca.
Trader to trader :
‘… ada hari-hari ‘sepi’ dimana kita sendiri analisa, back test, evaluasi dan buat plan. Semoga upaya ini bisa mengantar kita ke tujuan yg kt harapkan di financial market ya. Ammiin…. 🤲’
Tag random emiten banking yg saya sdh masuk
$BBCA $BBRI $BMRI
Penipu2 ini kok ga ada habisnya ya 😂 apa mungkin gr2 terlalu mudah bikin akun di Stockbit, jadinya ga bakal ada habisnya 🫠
Random tag
$BBCA
$BMRI
$BBRI

@skydrugz27 move on pindah kemana bos? semuanya rungkad 😂 perbankan rungkad,logam2an rungkad. sawit2an rungkad, energi rungkad,konsumer rungkad. nggak ada yang prospek 🤭
apa mau pacu jantung di saham konglo? nggak mungkin mau bagi fundamentalis
sepahit apapun kutelan juga kata holder $BBRI $BBCA $BMRI 😂
Ga usah ragu dengan $BBRI,$BMRI $BBNI.mereka tidak pernah mengkhianati investor nya.mereka selalu memberi kehangatan cuan manis bagi yg selalu menggenggamnya dengan erat
$BBRI Berani Beli Ndak?
Kalau lihat riwayat harga BBRI selama ini sih, momen pas cicil itu ya di harga sekarang ke bawah, cicil selot selot ke bawah. Cuma masalahnya kita ndak tahu berapa lama akan nyungsep ini BBRI. Jadi ini lebih cocok disebut sebagai ujian kesabaran ketimbang investasi. 🗿
Momen jualannya nanti pas di 4000 ke atas. Soalnya selama setahun terakhir, susah banget BBRI nangkring di atas 4000an. Malah lebih betah main di harga 4000 ke bawah.
Range harga ekstrim-nya main di 3360 - 4450
Range tengah nya ya 3600 - 4000
Swing harganya muter - muter terus di situ selama ini.
Jangan langsung all in satu harga tapi cicil pelan - pelan selot selot. Imagine kalau langsung gass all in di 4000 up, langsung Nyangkut.
Kalau bicara fundamental ya laba BBRI lagi anjlok sekarang. Apalagi pemerintah mau hapus buku kredit nasabah yang kena banjir di Sumatera. Itu artinya NPL dan CKPN bisa naik lagi dan potensi laba anjlok lagi. Tinggal hitung aja berapa nasabah di wilayah banjir. Dan kemungkinan $BMRI dan BBNI akan dipaksa melakukan hal yang sama.
Dengan kondisi itu maka jelas kondisi fundamental BBRI bisa memburuk lagi seperti waktu Januari 2025 waktu pemerintah hapus kredit macet UMKM, laba langsung anjlok.
Jadi pertanyaan sekarang adalah dengan harga BBRI yang murah tapi kondisi fundamental BBRI potensi menurun lagi, apakah berani beli atau tidak?
$BTPS pernah mengalami apa yang BBRI alami saat ini. Waktu lagi hapus buku kredit macet, laba anjlok berat. Setelah selesai hapus buku, laba meroket lagi.
Kalau yakin ini masalah BBRI hanya sementara, ya gas cicil terus. Tapi kalau merasa bakalan makin suram, ya move on.
Ini bukan rekomendasi jual dan beli saham. Keputusan ada di tangan masing-masing investor.
Untuk diskusi lebih lanjut bisa lewat External Community Pintar Nyangkut di Telegram dengan mendaftarkan diri ke External Community menggunakan kode: A38138
Link Panduan https://stockbit.com/post/13223345
Kunjungi Insight Pintar Nyangkut di sini https://cutt.ly/ne0pqmLm
Sedangkan untuk rekomendasi belajar saham bisa cek di sini https://cutt.ly/Ve3nZHZf
https://cutt.ly/ge3LaGFx
Toko Kaos Pintar Nyangkut https://cutt.ly/XruoaWRW
Disclaimer: http://bit.ly/3RznNpU
1/10










@ExoTriSulistianto karena gak semua retail terjun ke dunia saham untuk trading. Banyak yang kerja di sektor real, nabung nya memilih beli saham yang memberikan deviden daripada deposito. contohnya yah saham big banks seperti $BBCA $BBRI atau $BMRI bro..
CIE - Cuan Inside Exchange
$MARI
ke 42 dalam tiga tahun? atau LEBIH TINGGI bahkan LEBIH CEPAT??
aku beli pake UANG DINGIN & IKHLAS jika DELISTING.
target TP udah ada. ... nah kalo dibeli terus ternyata turun lagi tau harus bagaimana. .. ga bakal bingung apalagi CL 🥴
⚠️ WARNING ⚠️
* ini BUKAN REKOMENDASI wajib beli
random tags$IHSG$BMRI
tips trading utk pemula, setuju? https://stockbit.com/post/20680521
disclaimer : catatan pribadi ini hanyalah celoteh / prediksi nubitol, bukan ajakan beli atau jual.. . yuk mari kita sama2 mandiri 💞
(boleh diSHARE semoga bermanfaat)

CIS - Cuan Inside Sharing
OPERASI CIA part.2
(cek slide)
sumber : exc. ngomongin uang
random tags$IHSG$BBNI$BMRI
tips trading utk pemula, setuju? https://stockbit.com/post/20680521
disclaimer : catatan pribadi ini hanyalah celoteh / prediksi nubitol, bukan ajakan beli atau jual.. . yuk mari kita sama2 mandiri 💞
(boleh diSHARE semoga bermanfaat)
1/10










*REPORT TRANSAKSI ARUS DANA EMITEN BANK, 05 Des 2025*
1. Arus Transaksi $BMRI
Perdagangan hari terakhir, keinginan Asing membeli lebih besar dari penjualan 🔼. Volume bid mencapai 73,00%, sementara volume offer mencapai 48,19% dari total volume yang diperdagangkan. Pembelian asing pada hari terakhir bursa melemah dengan penurunan volume 🔽 7,77 juta dari hari sebelumnya, atau banyak dilepas asing 🔽 jika dibanding hari sebelumnya dengan aksi jual 48,19% dari volume transaksi. Saham ini cukup diminati Asing 🔼 dengan transaksi 73,00% dari volume transaksi.
💡 Trading Idea: Entry : 4.920 - 4.960; TP 1: 5.070 - 5.150; TP 2: > 5.700; Stop-Loss: < 4.920. Selama penutupan bertahan di atas 4.920, support tetap terjaga.
💡 Sentimen: 🗞 02 Des 2025 - *Bank Mandiri (BMRI) Punya Sekretaris Perusahaan Baru*, selengkapnya https://cutt.ly/dtitk886
2. Arus Transaksi $BBNI
Perdagangan hari terakhir, keinginan Asing membeli lebih besar dari penjualan 🔼. Volume bid mencapai 67,75%, sementara volume offer mencapai 64,04% dari total volume yang diperdagangkan. Pembelian asing pada hari terakhir bursa menguat dengan peningkatan volume 🔼 3,49 juta dari hari sebelumnya, atau mengalami peningkatan 🔼 21,70% dari volume transaksi. Saham ini cukup diminati Asing 🔼 dengan transaksi 67,75% dari volume transaksi.
💡 Trading Idea: Entry : 4.310 - 4.350; TP 1: 4.470 - 4.540; TP 2: > 5.000; Stop-Loss: < 4.310. Selama penutupan bertahan di atas 4.310, support tetap terjaga.
3. Arus Transaksi $BBCA
Perdagangan hari terakhir, keinginan Asing untuk menjual saham lebih besar dari pembelian 🔽. Volume bid mencapai 66,77%, sementara volume offer mencapai 74,78% dari total volume yang diperdagangkan. Pembelian asing pada hari terakhir bursa menguat dengan peningkatan volume 🔼 21,85 juta dari hari sebelumnya, atau mengalami peningkatan 🔼 85,14% dari volume transaksi. Saham ini cukup diminati Asing 🔼 dengan transaksi 66,77% dari volume transaksi.
💡 Trading Idea: Entry : 8.320 - 8.400; TP 1: 8.530 - 8.680; TP 2: > 9.500; Stop-Loss: < 8.320. Selama penutupan bertahan di atas 8.320, support tetap terjaga.
4. Arus Transaksi BBRI
Perdagangan hari terakhir, keinginan Asing untuk menjual saham lebih besar dari pembelian 🔽. Volume bid mencapai 22,81%, sementara volume offer mencapai 63,81% dari total volume yang diperdagangkan. Pembelian asing pada hari terakhir bursa melemah dengan penurunan volume 🔽 87,21 juta dari hari sebelumnya, atau banyak dilepas asing 🔽 jika dibanding hari sebelumnya dengan aksi jual 63,81% dari volume transaksi. Porsi pembelian asing hanya 22,81% dari total volume transaksi.
💡 Trading Idea: Entry : 3.670 - 3.710; TP 1: 3.790 - 3.840; TP 2: > 4.200; Stop-Loss: < 3.670. Selama penutupan bertahan di atas 3.670, support tetap terjaga.
💡 Sentimen: 🗞 01 Des 2025 - *Aksi Senyap di Saham BBRI*, selengkapnya https://cutt.ly/Ttitk4wW
5. Arus Transaksi BTPS
Perdagangan hari terakhir, keinginan Asing untuk menjual saham lebih besar dari pembelian 🔽. Volume bid mencapai 8,43%, sementara volume offer mencapai 9,16% dari total volume yang diperdagangkan. Pembelian asing pada hari terakhir bursa melemah dengan penurunan volume 🔽 0,78 juta dari hari sebelumnya, atau banyak dilepas asing 🔽 jika dibanding hari sebelumnya dengan aksi jual 9,16% dari volume transaksi. Porsi pembelian asing hanya 8,43% dari total volume transaksi.
💡 Trading Idea: Entry : 1.310 - 1.320; TP 1: 1.350 - 1.360; TP 2: > 1.500; Stop-Loss: < 1.310. Selama penutupan bertahan di atas 1.310, support tetap terjaga.
_Disclaimer:_*)
#> Catatan ini hanya informasi, bukan ajakan jual beli.
#> Catatan ini disusun dengan algoritma analisis data yang dikembangkan oleh @PasukanCutloss Primbon Saham
#> Analisis data lengkap di: https://cutt.ly/CtithHwL
#> Pelajari analisis data saham lebih mendalam, silakan japri: https://cutt.ly/ItithGnt
$PTPP Yang Rajin PKPU dan Digugat Pailit Hampir Tiap Tahun
Sharing member External Community Pintar Nyangkut di Telegram dengan Kode External Community A38138 https://stockbit.com/post/13223345
Hari ini ada member External Community Pintar Nyangkut di Telegram yang share berita PTPP kena PKPU lagi, dan jujur reaksi pertama bukan kaget, tapi menghela napas sambil mikir oh, sudah musim PKPU tahunan PTPP lagi. Buat yang rajin ikuti berita sejak pandemi, pola ini sudah kebaca lama. Hampir tiap tahun selalu ada vendor atau subkontraktor yang menyeret PTPP ke Pengadilan Niaga, kadang pakai label PKPU sementara, kadang permohonan pailit, tapi endingnya hampir selalu sama, dicabut, ditolak, atau dihomologasi. Sementara di sisi lain, tetangga sesama BUMN Karya seperti WSKT dan WIKA begitu tersenggol isu gagal bayar obligasi dan sukuk, langsung nyungsep ke zona restrukturisasi berat, rating turun ke level gagal bayar selektif, dan saham disuspensi bertahun-tahun. Jadi wajar kalau PKPU buat PTPP sekarang rasanya lebih mirip ritual tahunan daripada peristiwa luar biasa, semacam ulang-tahun-versi-hukum perdata yang tiap kali muncul bikin heboh sebentar lalu menguap, tetapi meninggalkan noda di catatan hubungan dengan kreditur dan vendor. Upgrade skill https://cutt.ly/Ve3nZHZf
Kalau ditarik mundur, siklusnya memang konsisten. Tahun 2020 PTPP kena PKPU karena telat bayar kewajiban sekitar 1,7 miliar Rupiah ke dua pemohon, dengan total kewajiban yang diakui pengadilan sekitar 1,75 miliar Rupiah. Manajemen mengakui ada keterlambatan pembayaran yang dikaitkan dengan tekanan pandemi, dan berjanji akan melunasi sisa kewajiban paling lambat tujuh hari setelah permohonan PKPU dicabut. Artinya, untuk utang setara proyek kecil saja, vendor merasa perlu memakai senjata PKPU supaya didengar, dan pengadilan sampai harus turun tangan memerintahkan pelunasan dalam tenggat ketat.
Tahun 2021, episode berikutnya datang dari subkontraktor lain, PT Sahabat Daya Mandiri. Permohonan PKPU didaftarkan ke Pengadilan Niaga Jakarta Pusat dan dikabulkan sebagai PKPU sementara selama maksimal 45 hari. PTPP menyampaikan ke BEI bahwa perseroan sedang berproses dalam PKPU, akan melakukan verifikasi dan validasi kewajiban, lalu menyelesaikan pembayaran setelah angka final disepakati. Di ujung cerita, perkara PKPU itu dicabut dan diselesaikan di luar pengadilan, tetapi lagi-lagi pola yang sama muncul, vendor lokalan memakai jalur PKPU untuk memaksa BUMN besar membereskan tagihan yang menurut mereka berlarut-larut.
Masuk 2022 sampai 2023, drama naik kelas. Nama CV Surya Mas muncul berkali-kali dalam daftar perkara. Desember 2022 mereka menggugat PTPP dengan nilai klaim sekitar 3,1 miliar Rupiah di PN Niaga Jakarta Pusat dengan nomor perkara 361, jadwal putusan sudah disiapkan, tetapi gugatan dicabut sendiri oleh pemohon dan dikabulkan majelis hakim. Tidak berhenti di situ, gugatan yang sama didaftarkan lagi awal 2023 dengan nomor perkara baru, lalu dicabut lagi, dan kemudian dipindahkan ke PN Niaga Makassar yang pada 29 Agustus 2023 sempat menetapkan PTPP dalam status PKPU sementara. Manajemen PTPP menyebut ada beberapa anomali hukum, mulai dari soal domisili perseroan yang berada di Jakarta Timur tetapi perkara digelar di Makassar, sampai soal siapa yang berwenang mengajukan PKPU terhadap BUMN. Pefindo menanggapi dinamika ini dengan menurunkan outlook PTPP menjadi negatif, menegaskan bahwa sengketa kecil sekalipun bisa mengguncang persepsi risiko kredit bila muncul di tengah leverage tinggi. Pada 5 Oktober 2023 PN Niaga Makassar akhirnya mencabut status PKPU sementara PTPP, perusahaan mengeluarkan press release panjang yang intinya berterima kasih ke kreditur dan berjanji tetap patuh pada kewajiban, tetapi noda reputasi sudah terlanjur tercetak di jejak berita.Upgrade skill https://cutt.ly/Ve3nZHZf
Di level grup, 2024 sampai 2025 giliran anak usaha yang masuk meja PKPU, terutama PPRO. Salah satu kreditur, J Trust Bank, secara terbuka menyebut status PKPU sementara sebagai preseden buruk karena membuat perusahaan terlalu mudah digugat dan berpotensi menurunkan kepercayaan investor, konsumen, dan vendor terhadap grup PTPP. Puncaknya, PPRO baru bisa keluar lewat homologasi dengan skema super berat, yakni mengubah utang sekitar 9,63 triliun Rupiah ke PTPP menjadi perpetual loan dengan kupon rendah, dan memangkas liabilitas ke kreditur lain sampai belasan triliun Rupiah. Secara teknis ini sukses restrukturisasi, tetapi dari kacamata investor ekuitas, ini pengakuan terang-terangan bahwa model bisnis sebelumnya tidak sanggup menahan beban utang.
Lompat ke 2025, babak yang bikin grup Telegram ramai. Dua vendor, PT Stahlindo Jaya Perkasa dan PT Sinar Baja Prima, mengajukan permohonan pailit ke Pengadilan Niaga Jakarta Pusat dengan nomor perkara 50, terkait sisa kewajiban sekitar 2,99 miliar Rupiah dari kerja sama operasi proyek KSO PP Urban. Manajemen PTPP buru-buru menjelaskan ke media bahwa nilai sengketa ini relatif kecil dan tidak berdampak material terhadap operasional maupun kelangsungan usaha, posisi perseroan masih going concern dengan aset puluhan triliun Rupiah. Pada akhirnya, pengadilan menolak permohonan pailit para vendor, PTPP lagi-lagi lolos, dan untuk kesekian kali berita PKPU PTPP berakhir dengan kata kunci ditolak atau dicabut.Upgrade skill https://cutt.ly/Ve3nZHZf
Kalau dilihat sekilas, semua kasus ini tampak sepele. Gugatan 1,7 miliar Rupiah di 2020, 3,1 miliar Rupiah di 2022 sampai 2023, lalu 2,99 miliar Rupiah di 2025, bagi perusahaan dengan aset sekitar 56 sampai 58 triliun Rupiah dan ekuitas sekitar 15 triliun Rupiah secara angka cuma serpihan kurang dari 0,01% aset. Tetapi justru di situ poin mengganggunya. Kalau untuk jumlah segitu saja vendor harus berkali-kali memakai jalur PKPU dan permohonan pailit hanya supaya tagihan diperhatikan, itu menceritakan dua hal, pertama, bargaining power vendor terhadap BUMN Karya sangat timpang sehingga jalur normal penagihan tidak efektif. Kedua, manajemen modal kerja PTPP begitu ketat sampai-sampai utang proyek kecil pun bisa terseret ke ranah PKPU. Bukan kasus satu kali, tetapi pola berulang bertahun-tahun.
Sekarang masuk ke sisi fundamental. Di tahun buku 2024, PTPP masih mencetak laba bersih sekitar 415,7 miliar Rupiah, tetapi itu sudah turun sekitar 13,6% dibanding 2023 yang sekitar 481,4 miliar Rupiah. Pendapatan usaha justru naik ke kisaran 19,81 triliun Rupiah, laba kotor sekitar 2,63 triliun Rupiah, tetapi net margin hanya sekitar 2,1%. Lebih problematik lagi, beban bunga nyaris menyamai EBITDA, terlihat dari rasio EBITDA terhadap beban bunga yang hanya sekitar 1,00 kali dan rasio utang terhadap ekuitas yang tembus sekitar 2,7 kali. Artinya, secara akuntansi PTPP masih laba dan masih berdiri, tetapi ruang napas keuangan sudah tipis, setiap rupiah bunga dibayar dengan keringat yang sama besarnya dari EBITDA.
Lalu 9M 2025 datang membawa realita yang jauh lebih keras. Pendapatan turun sekitar 23,3% year on year menjadi sekitar 10,74 triliun Rupiah, laba bersih yang dapat diatribusikan ke pemilik entitas induk anjlok sekitar 97,9% menjadi cuma 5,56 miliar Rupiah, dan kas serta setara kas amblas sekitar 35,4% year to date menjadi sekitar 2,7 triliun Rupiah. Di saat yang sama, total liabilitas masih sekitar 40,23 triliun Rupiah dan masih didominasi kewajiban jangka pendek sekitar 21,31 triliun Rupiah, sementara ekuitas hanya naik tipis ke sekitar 15,3 triliun Rupiah dan total aset turun ke sekitar 55,5 triliun Rupiah. Dari sudut pandang likuiditas, ini kombinasi yang bikin tegang, margin menyusut, kas susut, utang jangka pendek menggunung.Upgrade skill https://cutt.ly/Ve3nZHZf
Di titik ini pertanyaannya wajar, apakah PTPP tinggal menunggu giliran menyusul WSKT dan WIKA masuk zona gagal bayar berat. Di Waskita, cerita berawal dari ketidakmampuan membayar obligasi yang jatuh tempo, membuat saham disuspensi sejak Mei 2023 dan status restrukturisasi berkepanjangan sampai sekarang. Di WIKA, gagal bayar pokok sukuk mudharabah di akhir 2023 berujung suspensi saham dan babak baru restrukturisasi utang jumbo sekitar 4,64 triliun Rupiah plus beberapa seri sukuk dan obligasi lain, sampai harus menggelar RUPO dan RUPSU khusus membahas restrukturisasi kewajiban. Bedanya, di WSKT dan WIKA yang bermasalah adalah surat utang publik bernilai triliunan yang gagal dibayar tepat waktu, sedangkan di PTPP sejauh ini yang berulang adalah gugatan vendor dan subkontraktor dengan nominal miliaran yang secara teori masih bisa dilunasi dengan manajemen kas yang disiplin.
Jadi, apakah PTPP aman. Jawaban jujur, tidak bisa dibilang aman, tetapi juga belum sampai fase koma seperti WSKT dan WIKA. Di satu sisi, PTPP masih mencatat laba, ekuitas sekitar 15 triliun Rupiah, dan belum tercatat gagal bayar obligasi atau sukuk ke publik. Di sisi lain, laba 9M 2025 yang nyisa cuma 5,56 miliar Rupiah, kas yang turun menjadi 2,7 triliun Rupiah, serta utang jangka pendek di kisaran 21 triliun Rupiah, membuat bantalan untuk menghadapi shock makin tipis. Dalam kondisi seperti ini, PKPU bernilai miliaran bisa tetap diselesaikan, tetapi setiap sengketa yang masuk pengadilan menjadi sinyal ke pasar bahwa sistem pengelolaan piutang dan utang usaha masih jauh dari ideal.
Yang bikin situasi PTPP terasa aneh adalah kontrasnya narasi resmi dan pola di lapangan. Setiap kali kasus PKPU muncul, manajemen hampir selalu menyampaikan bahwa tidak ada dampak signifikan terhadap operasional maupun kelangsungan usaha, dan sejauh ini klaim itu benar secara teknis karena usaha PTPP belum runtuh. Namun dari kacamata investor yang bosan membaca judul PKPU PTPP setiap satu sampai dua tahun sekali, repetisi ini berarti dua hal, kualitas hubungan dengan vendor terganggu dan risiko reputasi di mata kreditur dan lembaga pemeringkat meningkat. Pefindo sudah pernah menurunkan outlook ke negatif ketika status PKPU sementara 2023 masih berjalan, itu alarm dini yang tidak boleh diabaikan.
PKPU yang datang hampir tiap tahun membuat PTPP terlihat kebal secara hukum, tetapi bukan berarti kebal secara finansial. Pola gugatan vendor bernilai miliaran yang berulang menunjukkan bahwa di level operasional ada friksi di rantai pasok dan manajemen kas yang ketat sampai-sampai tagihan kecil pun bisa berlarut-larut. Selama masalah PTPP masih di area itu, risikonya berbeda kualitas dibanding WSKT dan WIKA yang sudah gagal bayar instrumen pasar modal bernilai triliunan. Tetapi jika tren laba yang anjlok, kas yang menyusut, dan utang jangka pendek yang tinggi dibiarkan berlanjut, jarak antara PKPU tahunan bernominal kecil dan restrukturisasi besar-besaran ala BUMN Karya lain bisa mengecil lebih cepat dari yang nyaman untuk investor ekuitas.
$BBRI $BMRI BBNI geng Himbara yang kasi utang ke PTPP pun langsung rasa was was tiap dengar kabar PKPU. Soalnya mereka sudah berapa kali ditumbalkan untuk selamatkan GIAA KRAS WIKA WSKT dkk. Masa harus selamatkan lagi PTPP 🗿
Semoga saja PTPP bisa lolos lagi dari PKPU kali ini.
Ini bukan rekomendasi jual dan beli saham. Keputusan ada di tangan masing-masing investor.
Untuk diskusi lebih lanjut bisa lewat External Community Pintar Nyangkut di Telegram dengan mendaftarkan diri ke External Community menggunakan kode: A38138
Link Panduan https://stockbit.com/post/13223345
Kunjungi Insight Pintar Nyangkut di sini https://cutt.ly/ne0pqmLm
Sedangkan untuk rekomendasi belajar saham bisa cek di sini https://cutt.ly/Ve3nZHZf
https://cutt.ly/ge3LaGFx
Toko Kaos Pintar Nyangkut https://cutt.ly/XruoaWRW
Disclaimer: http://bit.ly/3RznNpU
1/8








Karena HIdup itu kadang diatas kadang di depan KABAH
Sejak 1 Juli 2025 saya memutuskan utk full-time sebagai trader receh, tanpa absen, tanpa drama, mengumpulkan cuan kecil yang sering kali dianggap sepele, namun justru melatih sabar, fokus, dan tawakal. Tekanan market, rasa takut salah langkah, dan jam panjang di depan chart bukan hanya soal profit, tetapi proses membentuk mental untuk bertahan. Hari ini mungkin profit tetap receh, tetapi rezekinya nyata: alhamdulillah saya dan tiga teman kantor akhirnya biaya utk liburan Natal didepan kabah HARI INI LUNAS .
semua biaya dari hasil mungutin receh di market pelan-pelan setiap hari. Rasanya tidak mewah di mata orang lain, tapi bagi kami, ini bukti bahwa rezeki Tuhan sering datang dari hal kecil yang dijalani dengan sabar dan konsisten. Market, terima kasih cuannya.
Jika dulu saya hanya kuat traktir teman jajan es boba kini saya mampu trantir teman buat umroh.
$INET
$MINA
$BMRI

‘Pak, share cuan terus… ada yg merah?’
Iya, ada.
Istilahnya floating loss atau drawdown bulanan.
Akun ada 2,
Kalo akun fokus deviden maka floating minus bukan jd fokusnya tapi… kalo ada duidnya ya terus cicil beli / nambah lot. Apalagi jika perusahaannya masih terus growth.
Di saya, akun trading saya akan jaga floating loss dan DD dg single digit % atau dibawah 10%, maksimal pernah lah di belasan persen.
Jika floating loss masih berkisar 3-5% brati saya benar2 fokus ke saham inti, yg punya karakter :
1. Yg naik (ijo), ada news / sentimen
2. Likuid
3. Big fund lagi banyak bertarung, saya ikuti salah satu atau beberapa dari mereka dalam buy n sell.
Kenapa?
Ya, saya inginnya begitu masuk emiten, sahamnya langsung jalan. Biar nggak kelamaan.
Nggak semua saham yg saya masuk bisa langsung terbang, tapi seiring berjalannya waktu ya dikid-dikid mulai bisa paham yg dimaksud ‘cari saham yg ijo yg udh siap manggung’ - supaya duidnya nggak ketahan lama.
Itu salah satu iktiar bgm membuat porto akun trading saya berkembang, nanti cuannya dimasukkan ke saham yg berpotensi bagger dan deviden play.
Konteksnya trading ya krn ini yg sedang jd learning phase saya.
Quote :
If your rules say 'no trade,' walk away.
Your future self will thank you.
Terimakasih, awal desember 1-5, realiasasi cuan trading saya mendekati angka Rp 200 jeti.
Floating loss single digit %
Berkah buat semuanya.
Semoga evaluasi trading minggu ini bisa membawa progress utk persiapan minggu depan.
……. ……. ……. ……. ……. ……. ……. …….
oya, saya ditanya kalo mau cari aman, emiten apa yg sdh boleh masuk?
Yang Saya jg masuk ya.
$BBRI entri buy masih dibawah Rp 3700 masih oke, target jangka pendek ke Rp 4300 (pbv 2,..)
$BMRI entry buy syukur2 dikasih Rp 4500 ke bawah, tapi saya sdh masuk cicil beli.
$BBNI entry buy di harga Rp 4000-sd Rp 4300an, saya juga sdh masuk.
Targetnya ke Rp 4750 sd Rp 5000
Tahun 2026, harapannya banking mau manggung.
Pilih salah satunya saja jk modal mepet.
Saya terus avg down bbri, krn nyangkut dari Rp 5300 hehehee
Smga membantu dan selalu riset ulang data diatas.
